بناء على قرار من وزير الاقتصاد والمالية بتاريخ 30 مارس 2022 ، أدخلت مذكرات تغييرات على قائمة أسعار التبغ المصنّع للبيع للعموم ابتداء من اليوم فاتح أبريل 2022.

© Copyright : DR
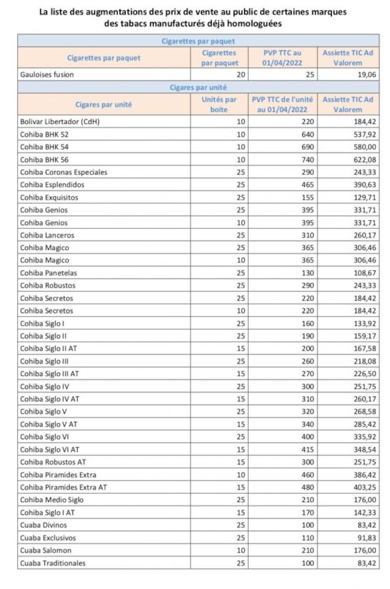
وكشفت المذكرة عن لائحة أسعار ماركات التبغ الجديدة المعتمدة (السيجار ، السجائر الصغيرة ، التبغ المسخن).
وتضم المذكرة قائمة الزيادات في أسعار المبيعات لبعض العلامات التجارية التي تمت الموافقة عليها بالفعل. بالإضافة إلى علبة السجائر "Gauloises fusion"، تتضمن هذه القائمة مجموعة من ماركات السجائر الأخرى.

© Copyright : DR

© Copyright : DR

© Copyright : DR

© Copyright : DR

© Copyright : DR



